Skip to content

Faris Nafiah PhD publishes in IEEE Sensors Journal

Tue, 02 November, 2021

NSIRC graduate Doctor Faris Nafiah has had his most recent paper accepted for publication in the peer reviewed IEEE Sensors Journal, impact factor 3.301.

Faris' paper is titled, "Determining Feature Extraction Parameters for Pulsed Eddy Current Sensor: A Minimisation Problem Approach, and was co-authored by Mohammad O. Tokhi, Senior Member, IEEE, Gholamhossein Shirkoohi, Member, IEEE, Fang Duan, Member, IEEE, Zhanfang Zhao, and Owen Rees-Lloyd, TWI Ltd.

In many non-destructive testing (NDT) techniques, quantifying the thickness of a pipe wall can only take place when a signal extracted from a pulsed eddy current (PEC) response.

About the IEEE Sensors Journal

Papers and articles for the journal published on a semi-monthly basis online are devoted to sensors and sensing phenomena.

Publications are reviewed in line with the IEEE PSPB Operations Manual and by a least two independent reviewers through the single-blind process.

Recent popular articles from IEEE Sensors include subjects such as industrial internet of things, the detection of COVID-19 using portable devices and deep learning models using CT images.

 

Faris' extended abstract from the NSIRC Research and Innovation Conference 2021

I. Introduction

Corrosion may develop and grow on steel pipes under layers of insulation and cladding.

The multi-layered structure of a pipe, as visualised in Figure 1, complicates the inspection process of a corrosion under insulation.

Unlike the conventional non-destructive testing (NDT) techniques that require removal of the insulation, pulsed eddy current (PEC) offers the capability of non-contacting inspection, which consequently enables an in-situ technique to be devised.

However, responses from a PEC system are highly influenced by variations in the cladding and insulation thicknesses. Although recent works have established different approaches in compensating for these adverse effects on PEC responses [1], none of the techniques present an approach for in-situ measurement.

The aim here is to utilise a novel signal processing technique to overcome the variability in PEC signals due to variations in the cladding and thickness variations.

The results, validated by experiments, prove that the approach is effective in quantifying corrosion on pipes independent of confounding cladding and insulation thicknesses variations.

Figure 1. Corrosion on multi-layered pipe structure.
Figure 1. Corrosion on multi-layered pipe structure.

II. Novel signal processing

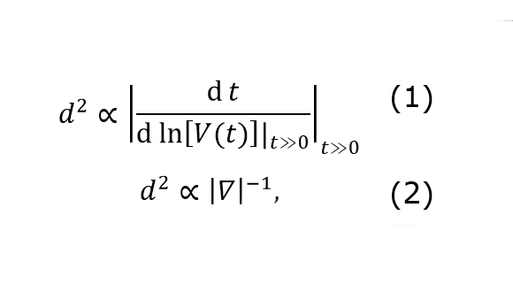
The previous work [2] has established the functional relationship of a new feature, namely , with pipe wall thickness , as where t is the time and V(t) is the time-dependent induced voltage in the detector coil.

 With the known relationship of the proposed feature, |∇|-1 , with the squared of the sample thickness, d2 , the calibration curve can be established by taking one (or multiple) reference signals from the inspected area.

This can later be compared with the signals taken in air (without the presence of any pipe), and a straight line can be drawn crossing the |∇|-1 values obtained from these measurements.

This slope of the straight line indicates the functional relationship of |∇|-1 with d2.

In the context of the PEC responses from the developed PEC system, |∇|-1 is extracted by computing the gradient of the signals within a specified thresholds.

Figure 2 demonstrates the extraction of the feature from a set of PEC signals of different wall thicknesses.

Figure 2. |∇|-1 features extracted from PEC signals.
Figure 2. |∇|-1 features extracted from PEC signals.

As equation (2) suggests, the linearity of the |∇|-1 feature with thicknesses is demonstrated in Figure 3.

Figure 3. Plot of extracted |∇|-1 against d2
Figure 3. Plot of extracted |∇|-1 against d2

III. Compensating for insulation and cladding thickness variations

For validation purposes, a PEC system has been developed consisting of a transmit-receive coil, excitation circuit and a LabVIEW data acquisition program.

Carbon steel plates of S275 grade were used, with thicknesses of 4 mm to 12 mm, at increments of 2 mm.

Plastic plates were used as a non-conductive insulation of 40 mm.

A 0.5 mm thick aluminium sheet was placed on top of the plastic plates to simulate cladding. The excitation voltage was 10 V with 8 Hz excitation frequency.

Data was acquired at the rising edge, and 16 pulse signals were averaged for each test for the purpose of white noise reduction.

The effects contributed by different thicknesses of insulation are demonstrated in Figure 4.

As can be seen, for each wall thickness, despite the difference in the lift-off values, the PEC signals still decay at similar rates.

This shows up as a generally parallel shift in time.

Figure 4. PEC signals for different pipe wall and insulation thicknesses.
Figure 4. PEC signals for different pipe wall and insulation thicknesses.

The effects of cladding thickness variations is demonstrated in Figure 5. Cladding thickness variations affect the early part of the signals, but can be said to diminish at the later part.

The signal gradients during this time range are also consistent corresponding to their thicknesses.

Figure 6 shows the extracted |∇|-1 values corresponding to different aluminium cladding and wall thicknesses.

The extracted |∇|-1 values, in general, can be said to be almost linear with the value of d2.

Although the aluminium cladding thickness is proven to affect the PEC signals, the linearity of |∇|-1 with respect to d2 is still maintained.

Moreover, the values of each |∇|-1 corresponding to respective wall thicknesses (irrespective of aluminium cladding thicknesses) are profoundly consistent, suggesting the immunity of the proposed |∇|-1 technique to the presence of aluminium cladding.

Figure 5. PEC signals for different pipe wall and cladding thicknesses.
Figure 5. PEC signals for different pipe wall and cladding thicknesses.
Figure 6. Extracted |∇|-1 for different aluminium cladding thickness over different wall thicknesses.
Figure 6. Extracted |∇|-1 for different aluminium cladding thickness over different wall thicknesses.

IV. Conclusion

A novel signal processing technique based on feature to enable in-situ measurement of wall thinning without insulation removals in oil and gas pipelines has been demonstrated.

The proposed feature, inspired by analysing the physical phenomonemon governing the PEC working principle, makes use of the gradient of the received PEC signals within a certain thresholds.

The outlined in-situ calibration procedure has been demonstrated to be immune to insulation and cladding thickness variations, which will contribute largely to enable pipe profiling for corrosion under insulation detection.

V. Acknowledgements

This publication was made possible by the sponsorship and support of Lloyd’s Register Foundation.

Lloyd’s Register Foundation helps to protect life and property by supporting engineering-related education, public engagement and the application of research.

References

  • Ulapane, N. et al. (2017). Pulsed eddy current sensing for critical pipe condition assessment. Sensors, 17(10):2208.
  • Nafiah F. et al. (2020). Pulsed eddy current: Feature Extraction Enabling In-situ Calibration and Improved Estimation for Ferromagnetic Application.

 -

More articles related to this one...

Watch Faris' presentation at the NSIRC Research and Innovation Conference 2021 on YouTube

Latest PhD opportunities with TWI and Lloyd's Register Foundation

Nagu Sathappan AWeldI has had her latest research published in the NDE 2020 - Virtual Conference & Exhibition